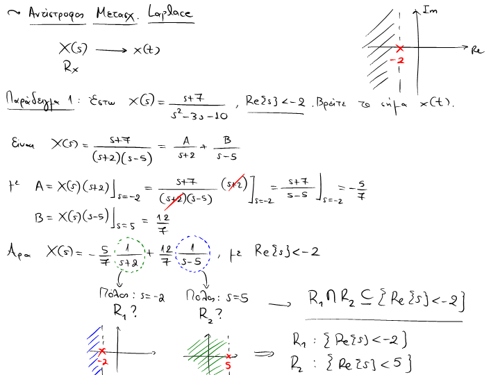
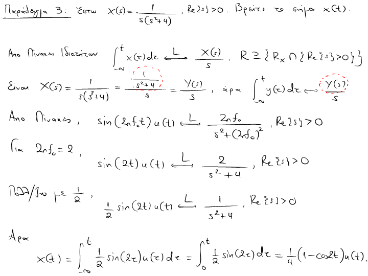
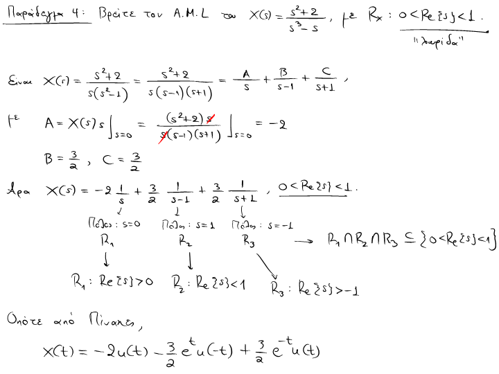
C:\Users\Tablet PC\Documents\HY215-Lec18.cp3

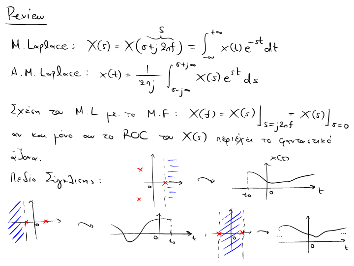
C:\Users\Tablet PC\Documents\HY215-Lec18.cp3