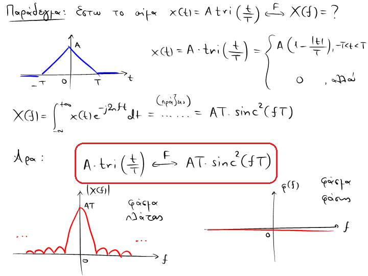
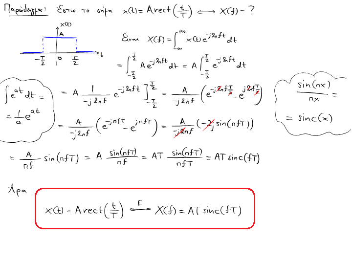
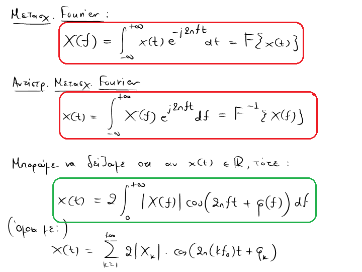
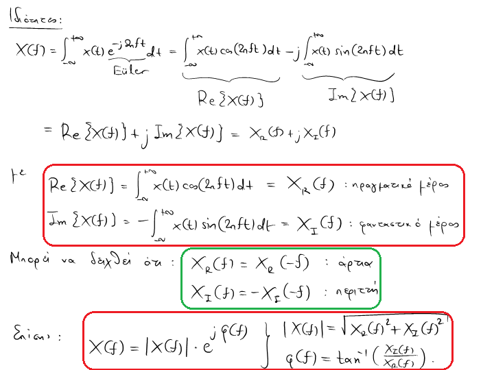
C:\Users\Tablet PC\Documents\HY215-Lec11.cp3

C:\Users\Tablet PC\Documents\HY215-Lec11.cp3