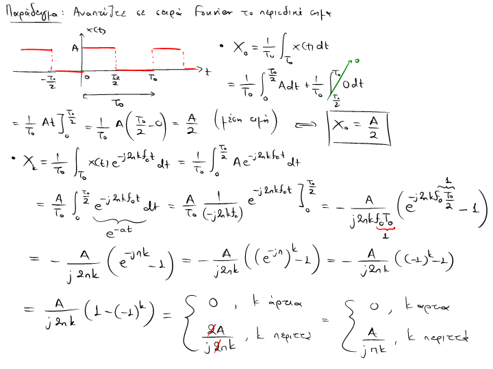
C:\Users\Tablet PC\Documents\HY215-Lec07.cp3

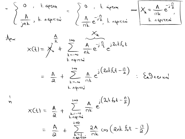
C:\Users\Tablet PC\Documents\HY215-Lec07.cp3