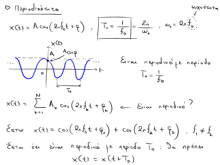
C:\Users\Tablet PC\Documents\HY215-Lec04.cp3

C:\Users\Tablet PC\Documents\HY215-Lec04.cp3