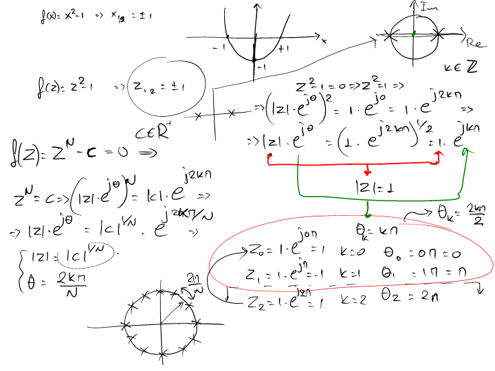
C:\Users\Tablet PC\Documents\HY215-Lec03.cp3

C:\Users\Tablet PC\Documents\HY215-Lec03.cp3