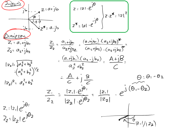
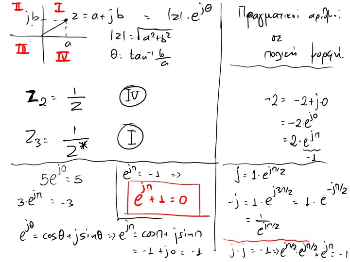
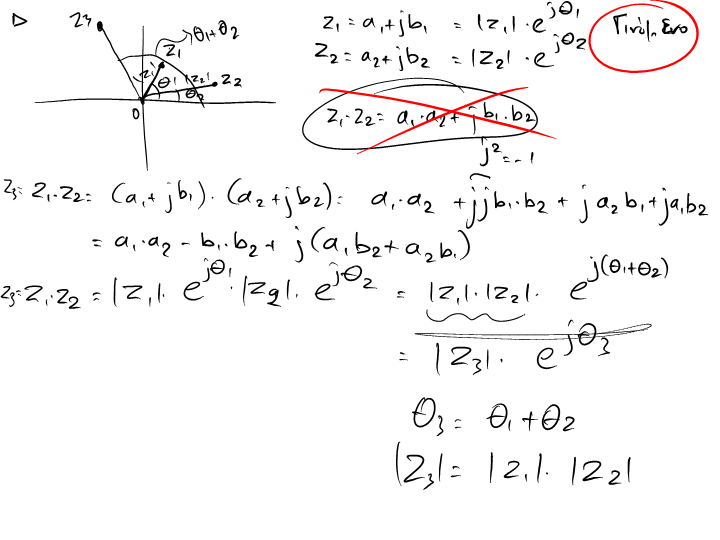
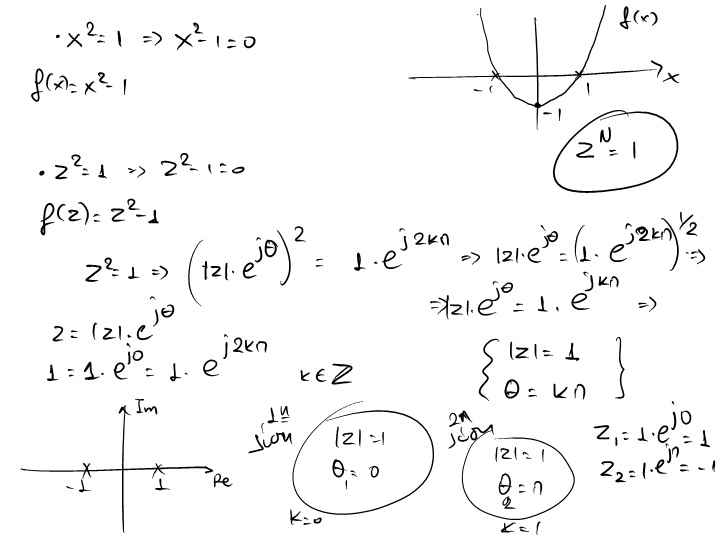
C:\Users\Tablet PC\Documents\HY215-Lec02.cp3

C:\Users\Tablet PC\Documents\HY215-Lec02.cp3