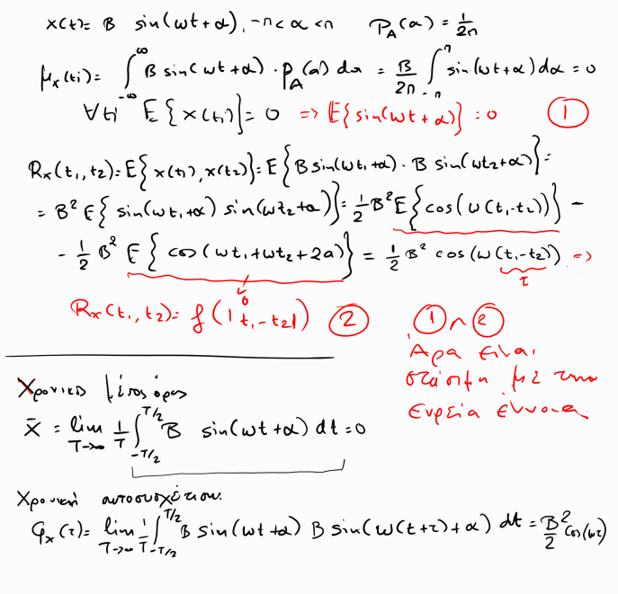
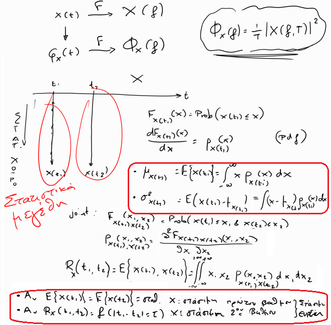
C:\Users\LenovoPad\Documents\lec29.cp3

C:\Users\LenovoPad\Documents\lec29.cp3