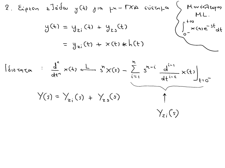
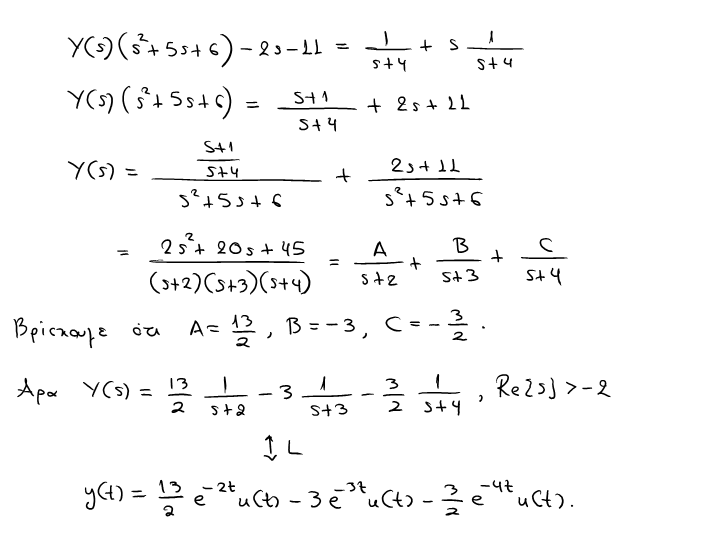
C:\Users\LenovoPad\Documents\lec24.cp3

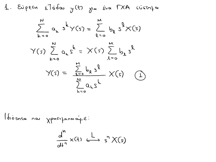
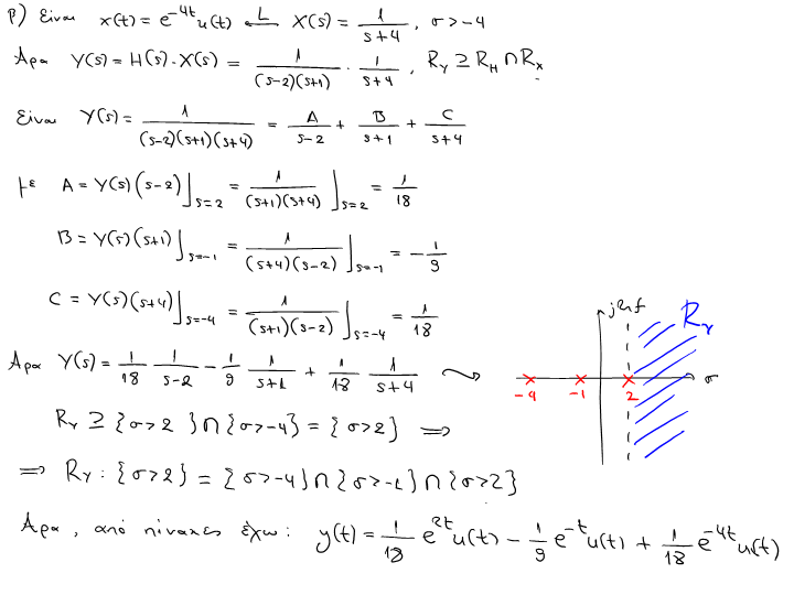
C:\Users\LenovoPad\Documents\lec24.cp3