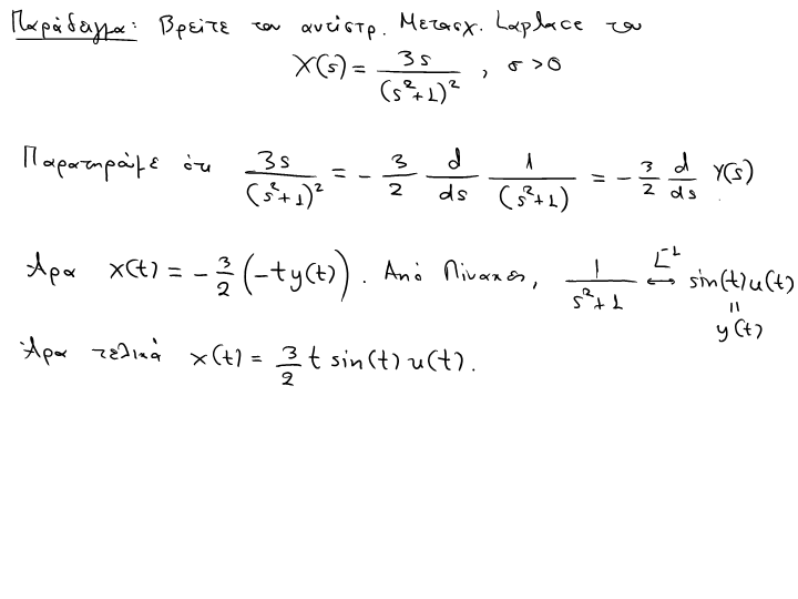
WhiteBoard 1
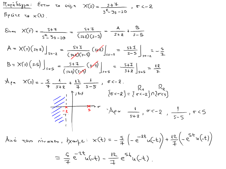
WhiteBoard 1