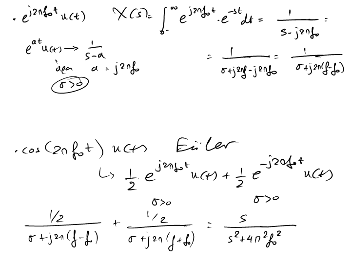
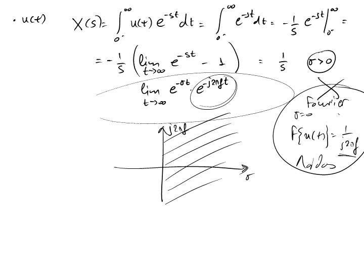
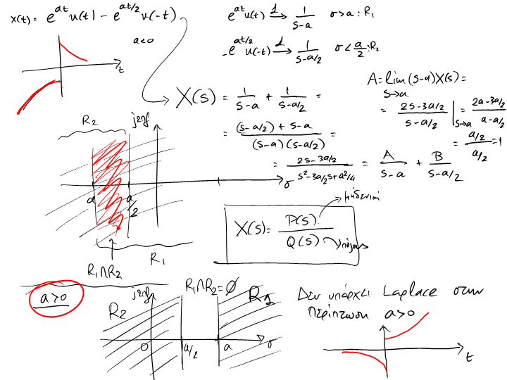
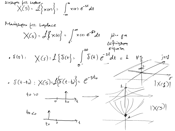
C:\Users\Tablet PC\Documents\lec21.cp3

C:\Users\Tablet PC\Documents\lec21.cp3