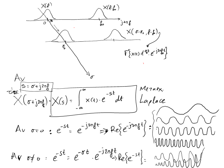
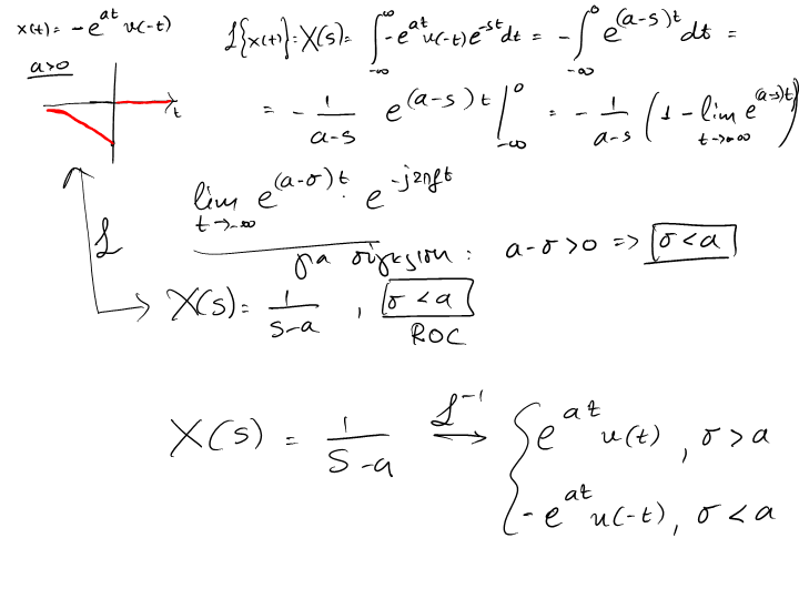
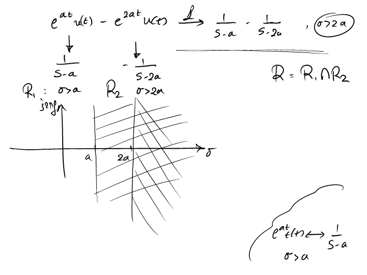
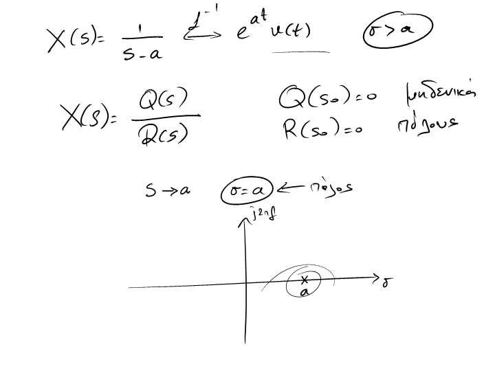
C:\Users\Tablet PC\Documents\lec20.cp3

C:\Users\Tablet PC\Documents\lec20.cp3