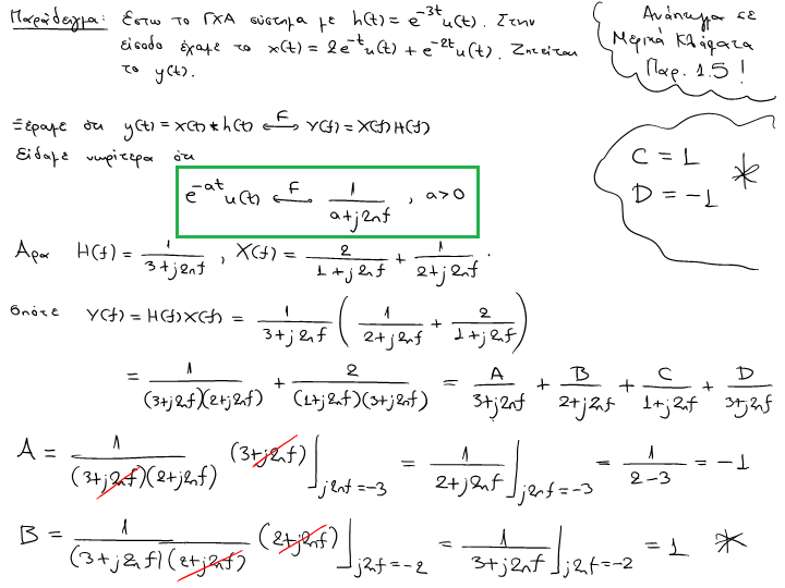
C:\Users\LenovoPad\Documents\lec18.cp3

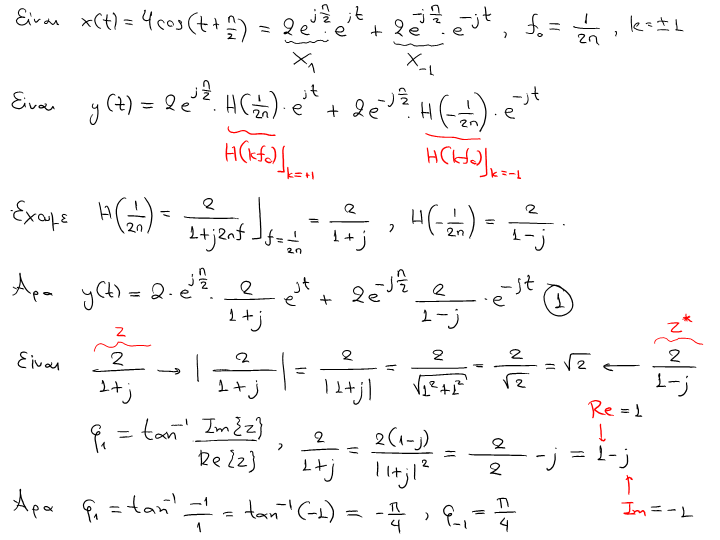
C:\Users\LenovoPad\Documents\lec18.cp3