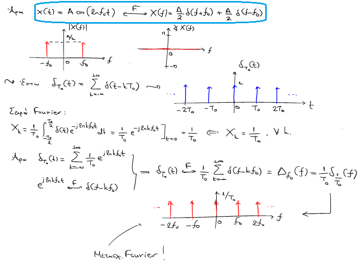
C:\Users\LenovoPad\Documents\lecL7.cp3

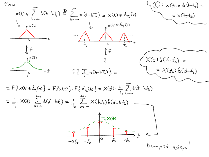
C:\Users\LenovoPad\Documents\lecL7.cp3