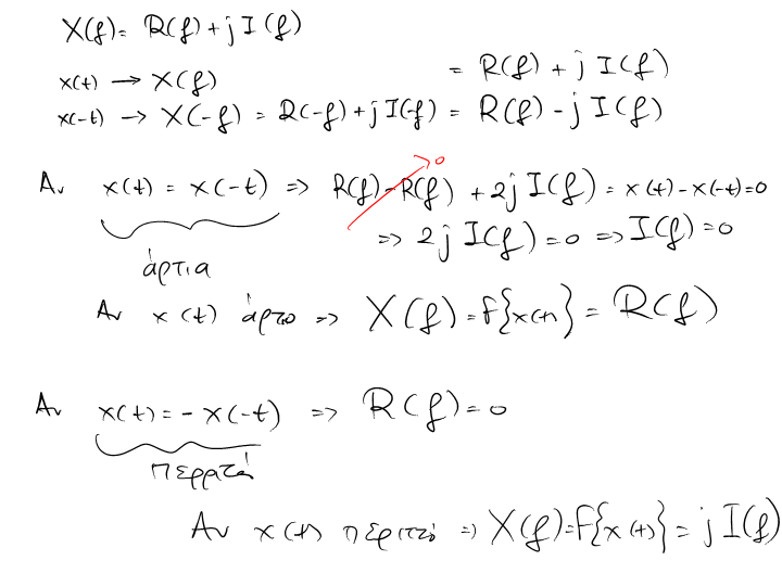
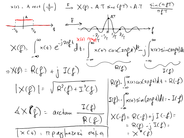
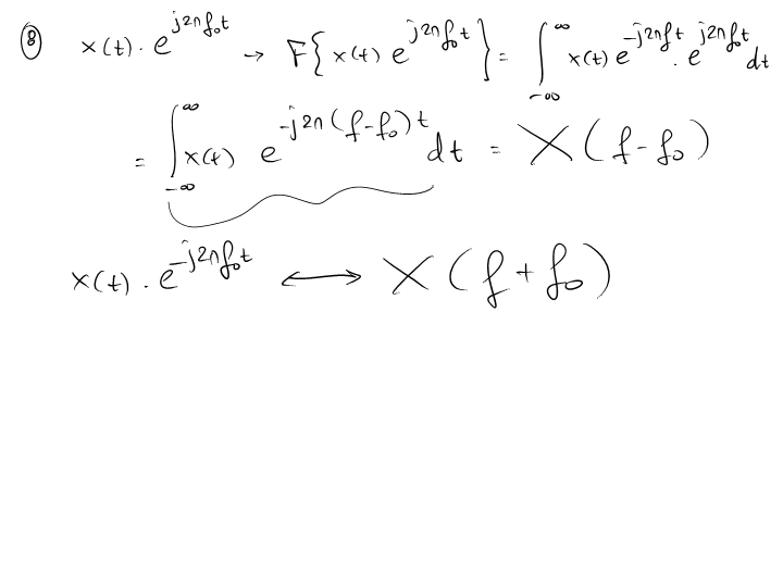
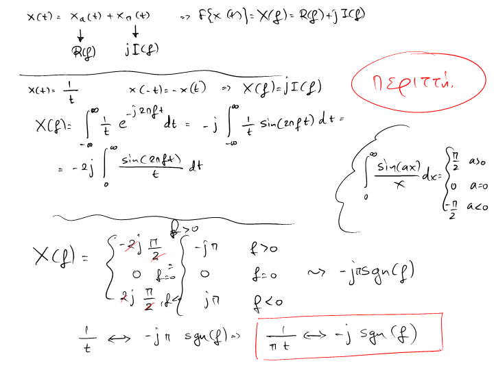
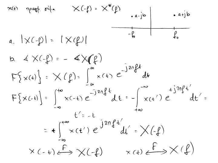
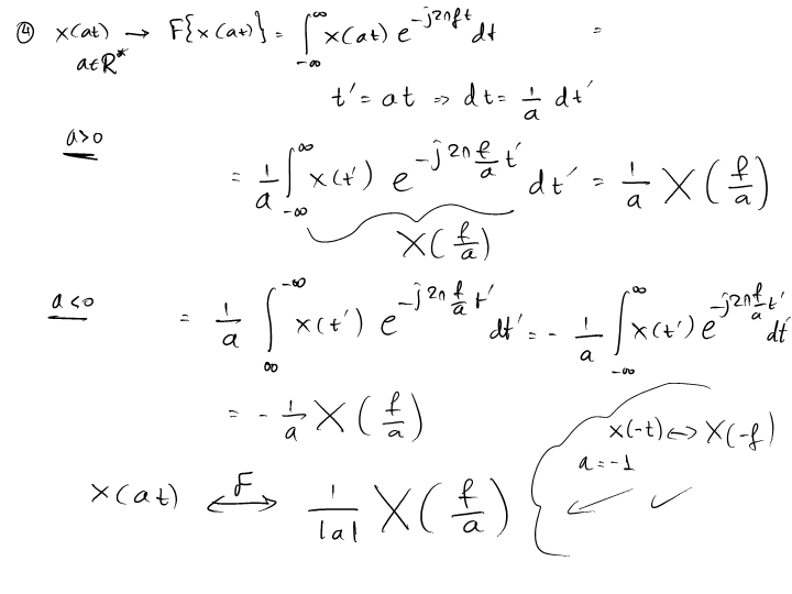
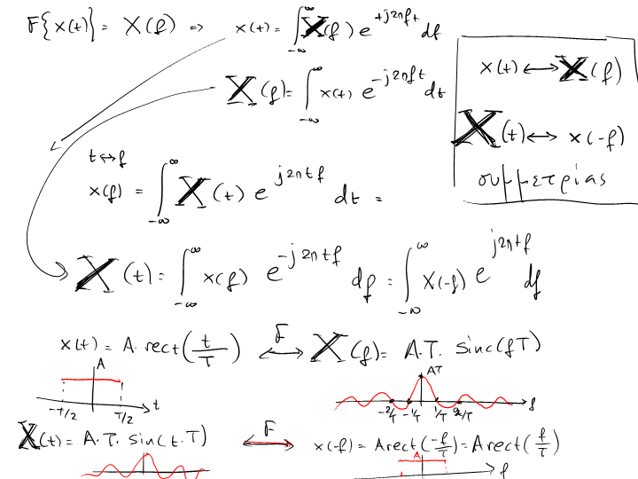
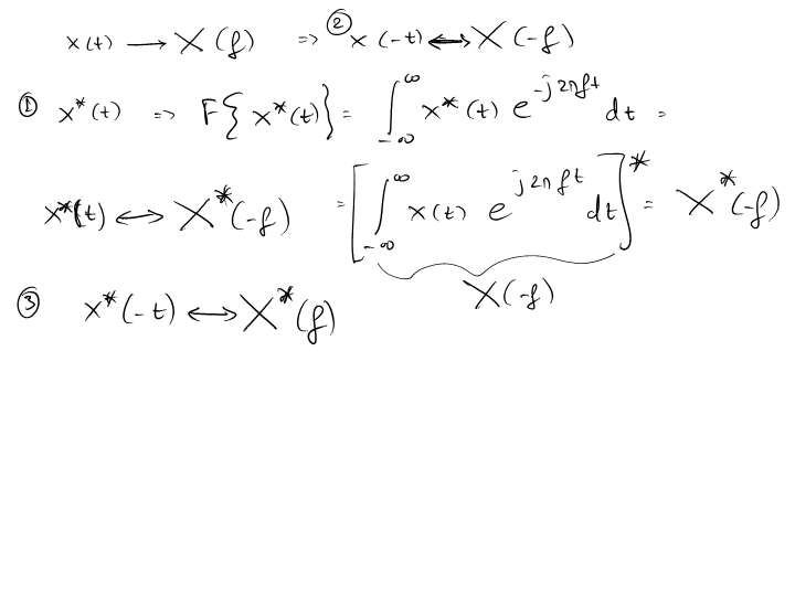
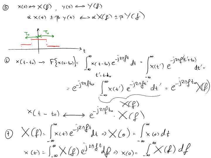
WhiteBoard 1

WhiteBoard 1