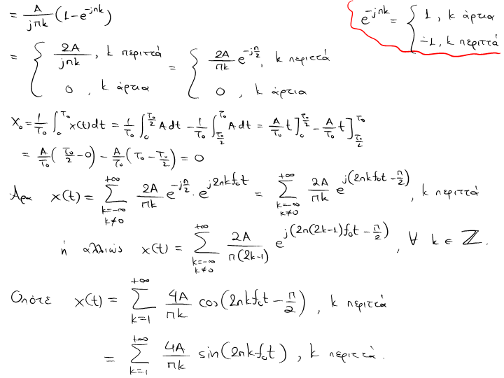
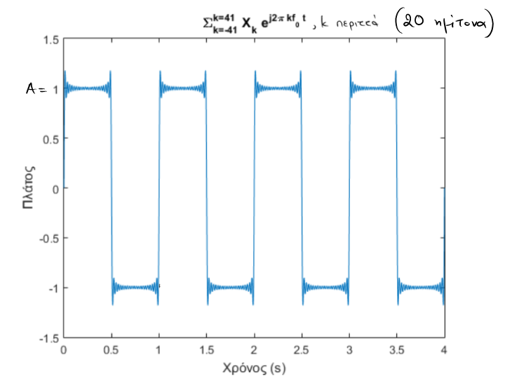
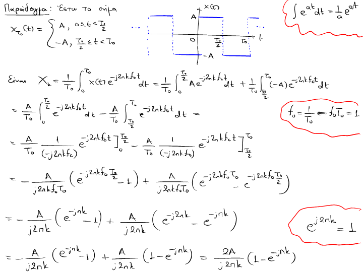
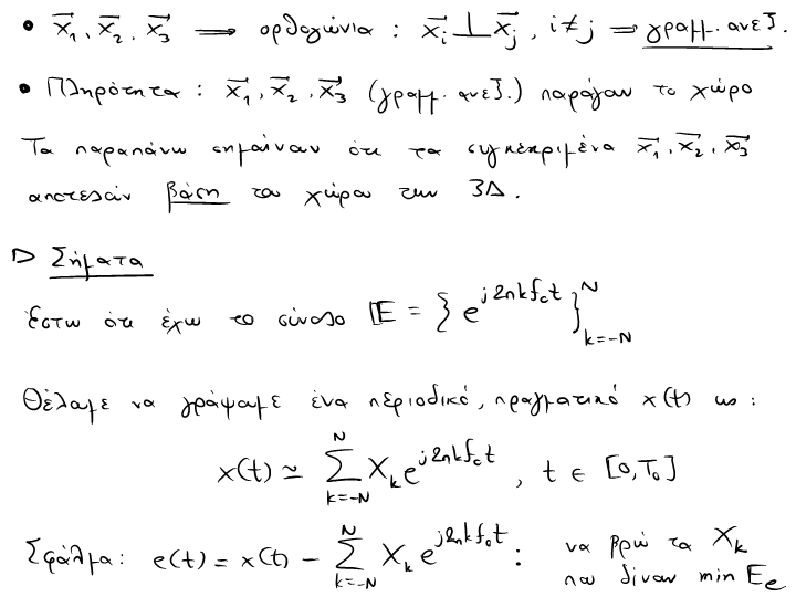
C:\Users\Tablet PC\Documents\lec11.cp3

C:\Users\Tablet PC\Documents\lec11.cp3