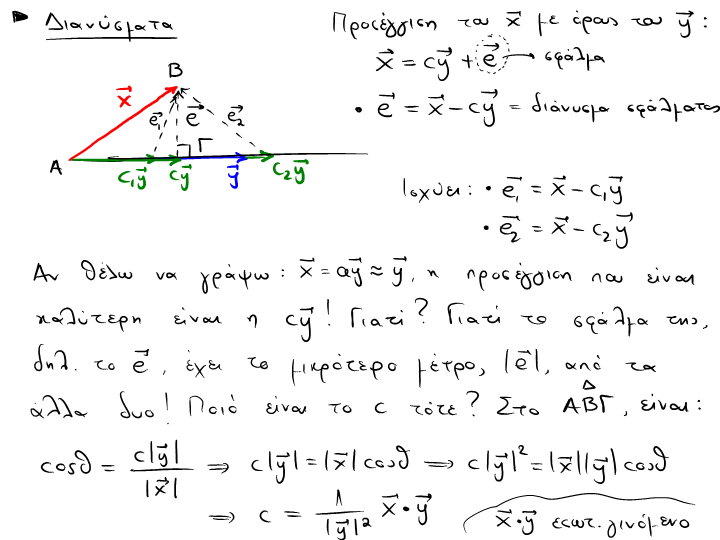
C:\Users\Tablet PC\Documents\lec10.cp3

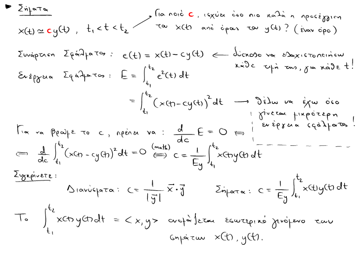
C:\Users\Tablet PC\Documents\lec10.cp3