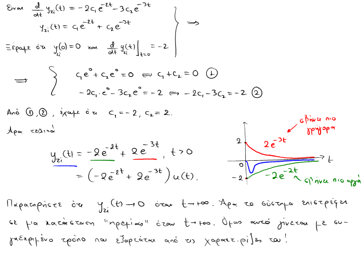
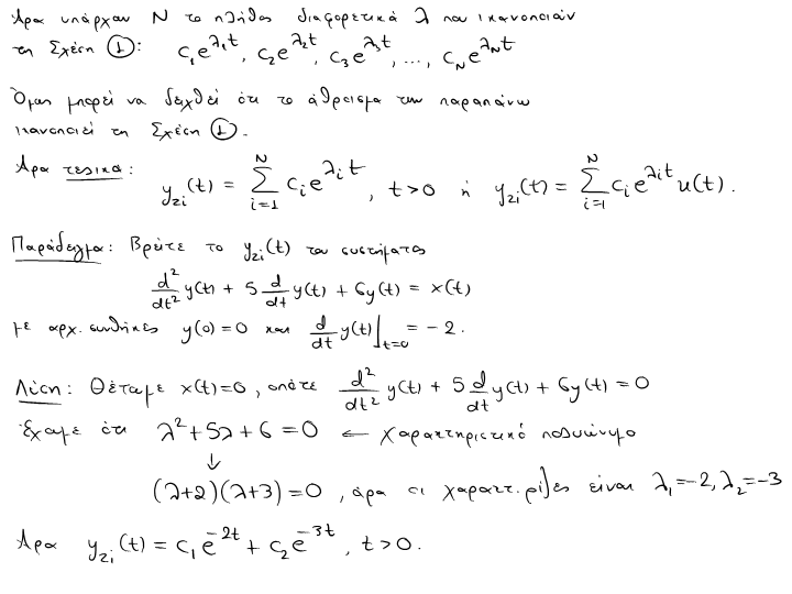
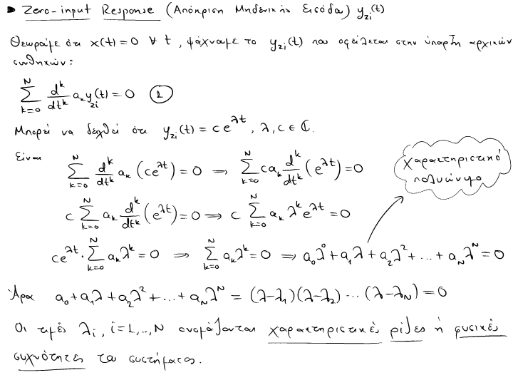
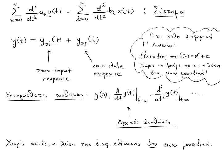
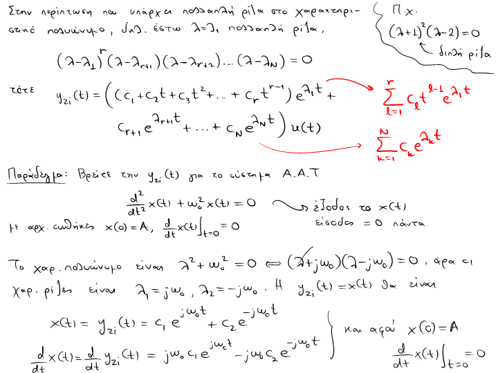
C:\Users\George Kafentzis\Documents\lec7.cp3

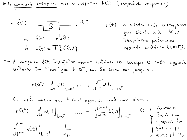
C:\Users\George Kafentzis\Documents\lec7.cp3