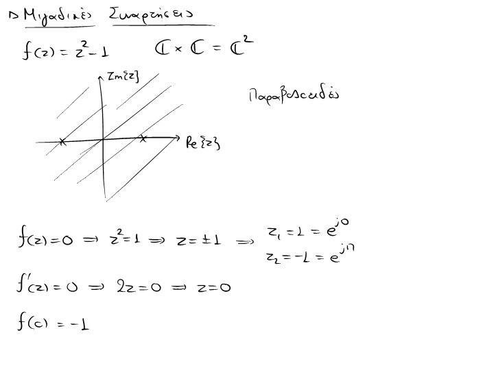
lec2

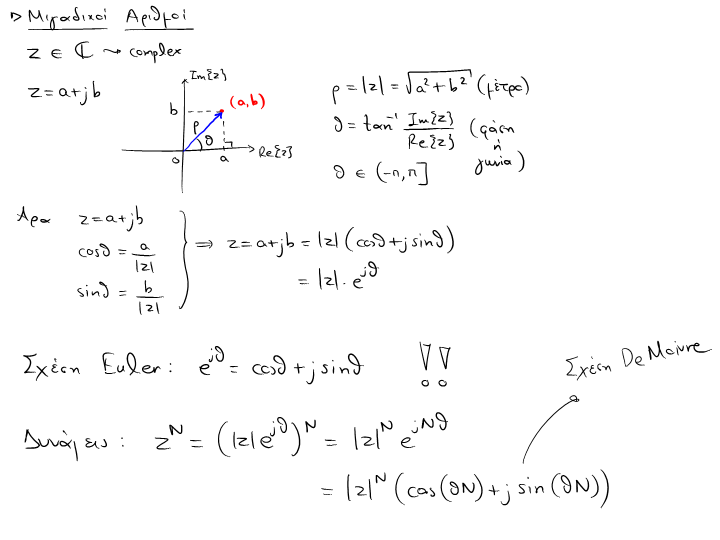
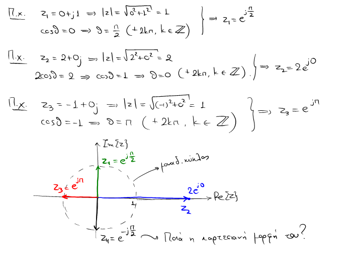
lec2