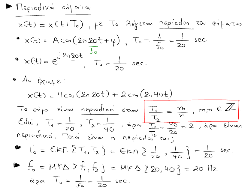
HY215-Lec5