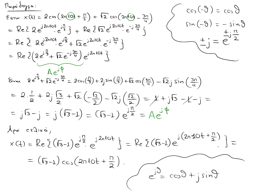
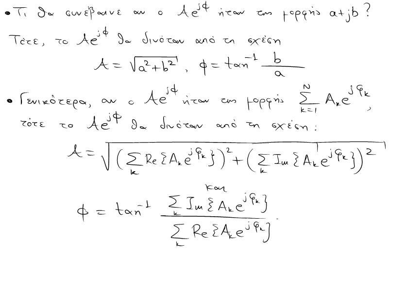
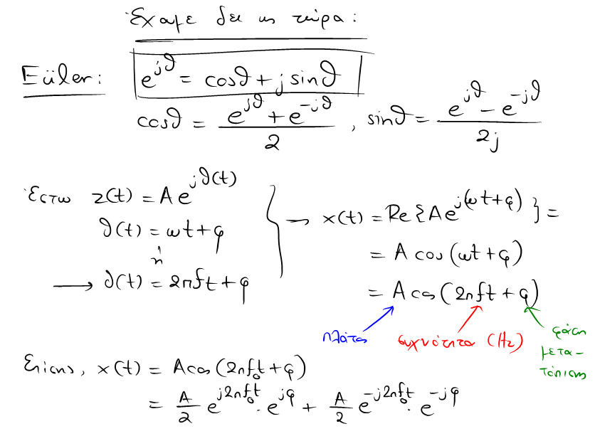
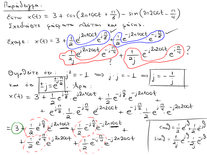
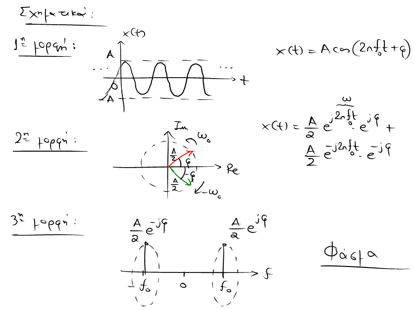
HY215-Lec4