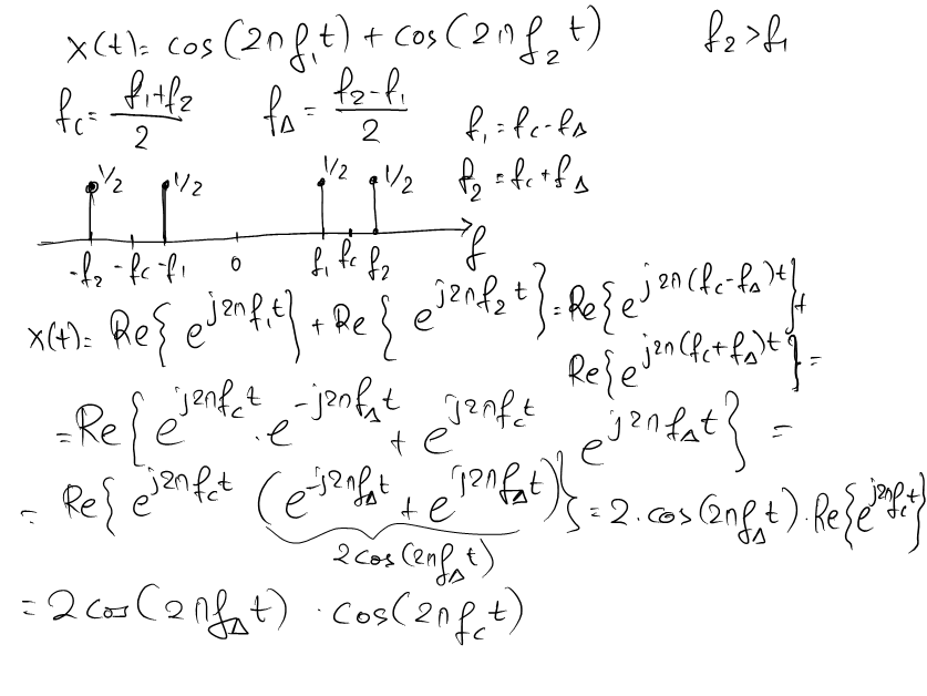
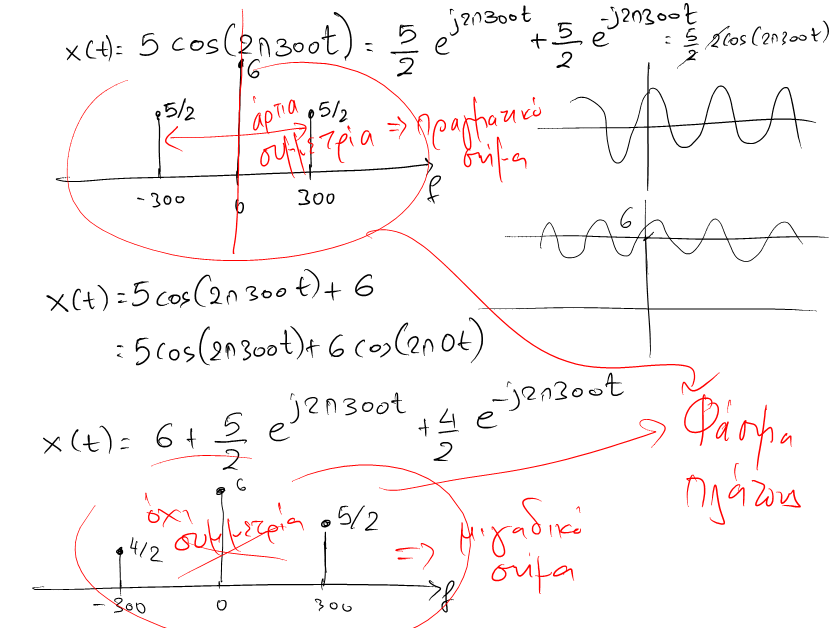
HY215-Lec3