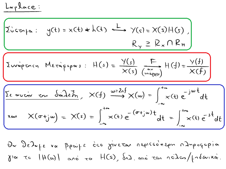
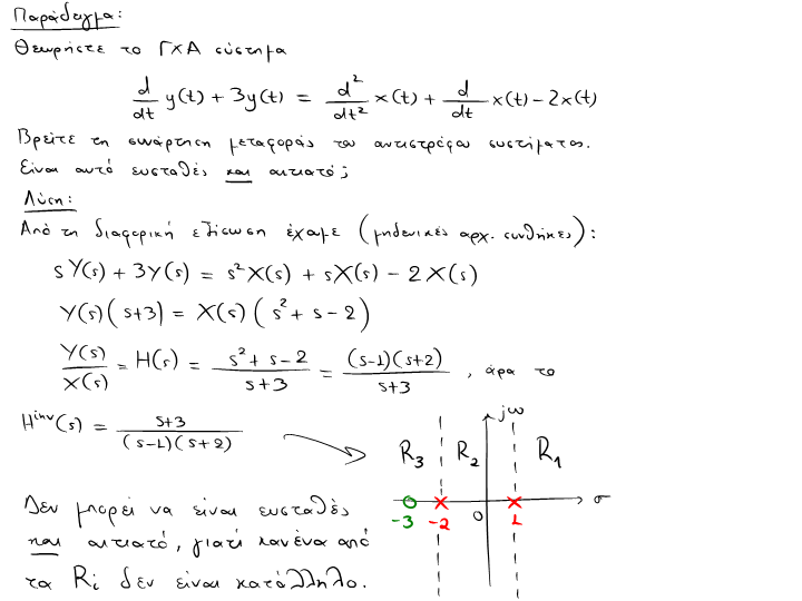
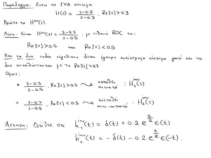
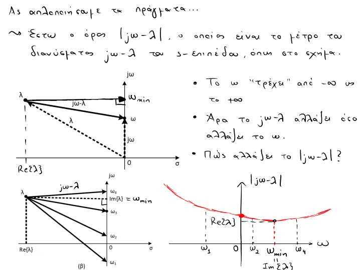
C:\Users\LenovoTablet\Desktop\Διαλέξεις 215\HY215-Lec24.cp3

C:\Users\LenovoTablet\Desktop\Διαλέξεις 215\HY215-Lec24.cp3