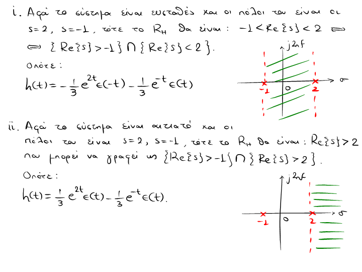
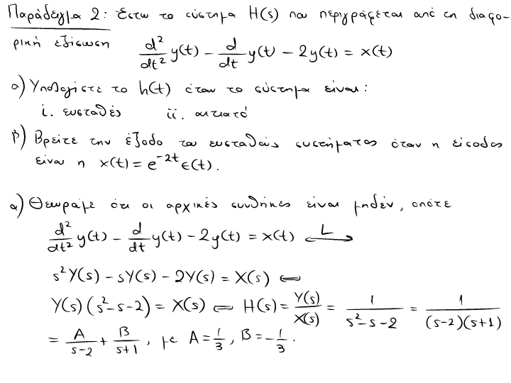
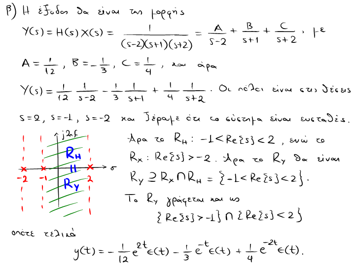
C:\Users\LenovoTablet\Desktop\Διαλέξεις 215\HY215-Lec23.cp3

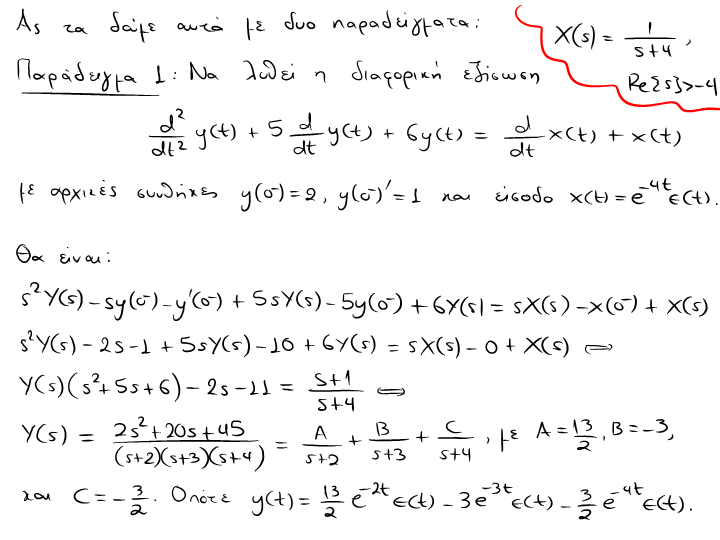
C:\Users\LenovoTablet\Desktop\Διαλέξεις 215\HY215-Lec23.cp3