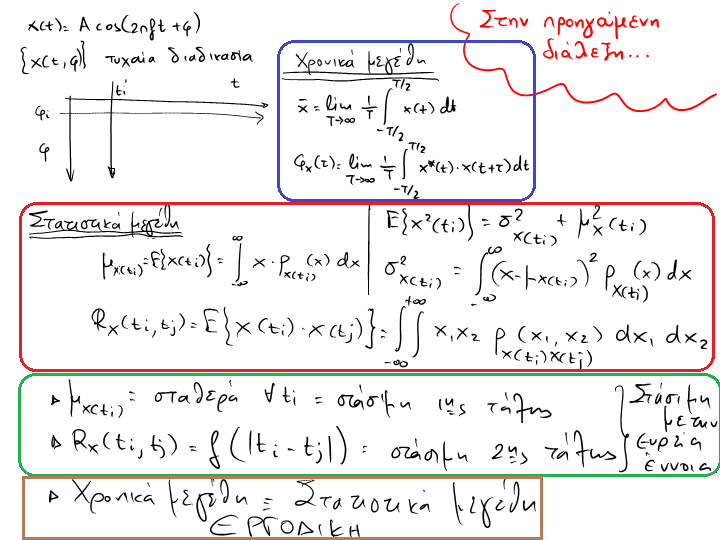
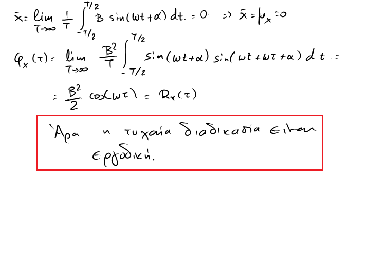
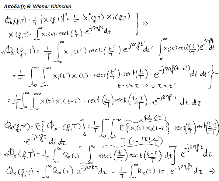
C:\Users\LenovoTablet\Desktop\Διαλέξεις 215\HY215-Lec19.cp3

C:\Users\LenovoTablet\Desktop\Διαλέξεις 215\HY215-Lec19.cp3