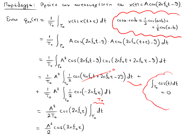
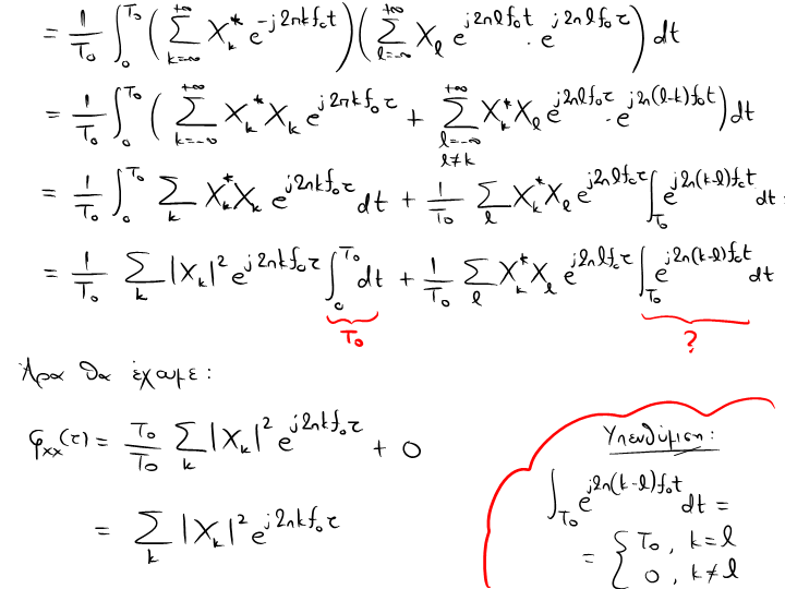
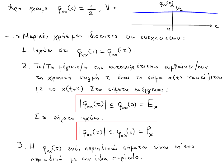
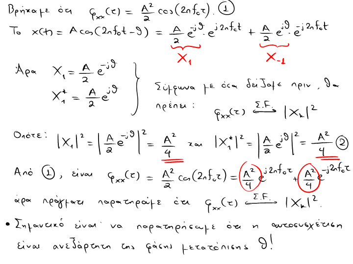
C:\Users\LenovoTablet\Desktop\HY215-Lec16.cp3

C:\Users\LenovoTablet\Desktop\HY215-Lec16.cp3