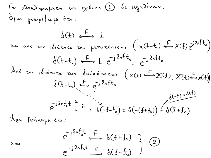
C:\Users\LenovoTablet\Desktop\HY215-Lec14.cp3

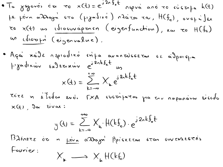
C:\Users\LenovoTablet\Desktop\HY215-Lec14.cp3